المركبات الكيميائية في المضادات الحيوية: آلياتها وتصنيفها

تُعتبر المركبات الكيميائية في المضادات الحيوية حجر الأساس في مكافحة العدوى البكتيرية. ومن خلال فهم تركيباتها الكيميائية وآليات تأثيرها، يمكن تحقيق استخدام مسؤول للمضادات الحيوية يقلل من المقاومة البكتيرية ويحافظ على صحتنا.

المركبات الكيميائية في المضادات الحيوية وتعريفها

قبل كل شيء، يجب أن نعرف أن المضادات الحيوية هي مركبات كيميائية طبيعية أو مصنَّعة تعمل على تثبيط نمو البكتيريا أو قتلها. وعلى الرغم من فعاليتها العالية، إلا أنها لا تعمل على الفيروسات، وهو أمر يجهله كثير من الناس.

التصنيف الكيميائي للمضادات الحيوية

ينقسم هذا التصنيف وفق تركيب المركب الفعّال داخل المضاد الحيوي. هذا ما يحدد طريقة استهداف البكتيريا ونطاق تأثير الدواء.

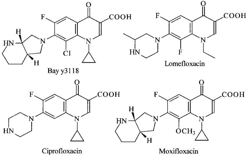
مجموعة بيتا-لاكتام

تعد إحدى أشهر مجموعات المركبات الكيميائية في المضادات الحيوية وتستهدف بناء جدار الخلية البكتيرية.

الماكروليدات

ترتبط هذه الفئة بوحدات الريبوسوم وتمنع تصنيع البروتينات اللازمة لنمو البكتيريا.

التتراسيكلينات

تمنع ارتباط tRNA بالريبوسوم، وبالتالي توقف تصنيع البروتينات داخل الخلية البكتيرية.

الأمينوغليكوزيدات

تعمل على إحداث خطأ في قراءة الشفرة الجينية، مما ينتج بروتينات غير طبيعية تؤدي لموت البكتيريا.

آلية عمل المركبات الكيميائية في المضادات الحيوية

باختصار، يمكن تقسيم آليات التأثير إلى:

  • تثبيط بناء جدار الخلية
  • تعطيل تصنيع البروتينات
  • وقف تضاعف الحمض النووي
  • التأثير على مسارات الأيض داخل الخلية

مقاومة البكتيريا وتأثيرها على فعالية المركبات الكيميائية

على سبيل المثال، تقوم بعض البكتيريا بإنتاج إنزيمات تكسر الحلقة الحيوية للمضاد الحيوي مثل بيتا-لاكتاماز، مما يقلل من فعالية الدواء.

كيف نستخدم المضادات الحيوية بشكل صحيح؟

من أجل تقليل المقاومة البكتيرية، يُنصح باتباع الإرشادات الطبية وتجنب الاستخدام الذاتي للمضادات الحيوية.

روابط داخلية من موقعك

لتوسيع الفائدة، يمكنك الاطلاع على:

مصادر خارجية موثوقة

اترك تعليقاً

لن يتم نشر عنوان بريدك الإلكتروني. الحقول الإلزامية مشار إليها بـ *